欢迎光临 上海邦景实业有限公司! 联系电话:021-52960951   021-52960952
产品分类
浏览历史
当前位置: 首页 > 标准品 > 化学标准品 > 毛花苷C

毛花苷C





毛花苷C

  • 商品货号:BJ106691
    商品库存: 100
  • 商品品牌:邦景/BHBT
  • 上架时间:2015-11-30
    商品点击数:3234

商品描述:

商品属性

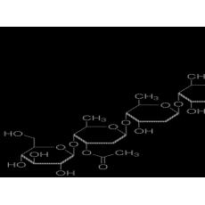
中文名称:毛花苷C
英文名: Lanatoside C
别名:
CAS号: 17575-22-3
分子式: C49H76O20
分子量: 985.12
MDL: MFCD00869432
储存条件: -20°C

contact
友情链接: