欢迎光临 上海邦景实业有限公司! 联系电话:021-52960951   021-52960952
产品分类
浏览历史
当前位置: 首页 > 标准品 > 中药标准品 > 甘露三糖

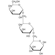
甘露三糖





甘露三糖

  • 商品货号:BJ105016
    商品库存: 100
  • 商品品牌:邦景/BHBT
  • 上架时间:2015-11-23
    商品点击数:487

商品描述:

商品属性

中文名称:甘露三糖
英文名: Manninotriose
别名:
CAS号: 13382-86-0
分子式: C18H32O16
分子量: 504
储存条件: 2-8℃
检测方法: HPLC≥98%

contact
友情链接: